植物ステロールパラドックスの正体に迫る
2026.02.04
リサーチハイライト
動脈硬化への「有益性」と「悪影響」の矛盾に対する定量的再検証
■ポイント■
植物ステロール*1は安全性が高い植物由来の脂質で、毎日の食事に取り入れることでコレステロール*3値を改善し、将来の病気のリスクを減らす効果が期待できます。
• 植物ステロールの安全性に関する長年の議論に対し、便益とリスクを定量的に検証すべくメタ解析*4を行いました。
• 一般の人が植物ステロール強化食品を摂取しても、血中の植物ステロール濃度はほとんど上昇せず、また、動物実験では一貫して、植物ステロールの動脈硬化*5抑制効果が示されてきており、植物ステロールの有効性が支持されました。
• 植物ステロールのリスクが懸念される原因となったのは、植物ステロール血症*2患者における早発性動脈硬化です。しかし、この症状には小児期の重度な高コレステロール血症が大きく関与する可能性が明らかになりました。
• これらの知見は、包括的な科学的根拠に基づいて植物ステロールの健康効果を再評価するものです。
■概要■
コレステロールは増えすぎると血管の内側に蓄積して動脈硬化を進め、心筋梗塞や脳卒 中などの原因になります。疫学調査では、40代のうちに血中コレステロールを約10%下げ ておくと、その後の動脈硬化性心血管疾患の発症を半減させる可能性が示されています (Strong et al., JAMA 1999)。また、動脈硬化は若い頃から少しずつ始まるので、早い段 階からの 「 一次予防」が重要です。植物ステロールには、コレステロールの吸収を抑える働 きがあり、日々の食事に取り入れることで、手軽にコレステロールを下げることが期待され ています(特保保健用食品などで摂取可能)。 しかしながら、本邦では植物ステロールの効用に対してあまり認知されておらず、十分に 活用されていないのが現状です。その理由の1つに、植物ステロールの血中濃度上昇が動脈 硬化を促進する危険性が指摘されていることが挙げられます。 本研究では、従来の研究成果を包括的に再検証するメタ解析という解析手法により、植物 ステロールの作用を「有益性」と「悪影響」の両面から明確にしました。 この成果は2025年10月号のCurrent Atherosclerosis Reports誌に掲載されました。
植物ステロール*1は安全性が高い植物由来の脂質で、毎日の食事に取り入れることでコレステロール*3値を改善し、将来の病気のリスクを減らす効果が期待できます。
• 植物ステロールの安全性に関する長年の議論に対し、便益とリスクを定量的に検証すべくメタ解析*4を行いました。
• 一般の人が植物ステロール強化食品を摂取しても、血中の植物ステロール濃度はほとんど上昇せず、また、動物実験では一貫して、植物ステロールの動脈硬化*5抑制効果が示されてきており、植物ステロールの有効性が支持されました。
• 植物ステロールのリスクが懸念される原因となったのは、植物ステロール血症*2患者における早発性動脈硬化です。しかし、この症状には小児期の重度な高コレステロール血症が大きく関与する可能性が明らかになりました。
• これらの知見は、包括的な科学的根拠に基づいて植物ステロールの健康効果を再評価するものです。
■概要■
コレステロールは増えすぎると血管の内側に蓄積して動脈硬化を進め、心筋梗塞や脳卒 中などの原因になります。疫学調査では、40代のうちに血中コレステロールを約10%下げ ておくと、その後の動脈硬化性心血管疾患の発症を半減させる可能性が示されています (Strong et al., JAMA 1999)。また、動脈硬化は若い頃から少しずつ始まるので、早い段 階からの 「 一次予防」が重要です。植物ステロールには、コレステロールの吸収を抑える働 きがあり、日々の食事に取り入れることで、手軽にコレステロールを下げることが期待され ています(特保保健用食品などで摂取可能)。 しかしながら、本邦では植物ステロールの効用に対してあまり認知されておらず、十分に 活用されていないのが現状です。その理由の1つに、植物ステロールの血中濃度上昇が動脈 硬化を促進する危険性が指摘されていることが挙げられます。 本研究では、従来の研究成果を包括的に再検証するメタ解析という解析手法により、植物 ステロールの作用を「有益性」と「悪影響」の両面から明確にしました。 この成果は2025年10月号のCurrent Atherosclerosis Reports誌に掲載されました。
■研究背景■
植物ステロール血症は1974年に初めて報告された遺伝性の希少疾患で、体内からの植物ステロール排出が正常に行われません。この疾患は早発性の動脈硬化症を特徴とすることから、植物ステロールがその原因として疑われてきました。
しかし、植物ステロールが動脈硬化を促進するメカニズムは確認されておりません。植物ステロールの血中濃度が上昇すると心疾患のリスクが上昇することを示す疫学研究もありますが、その解釈には注意が必要です。実際、植物ステロールはコレステロール吸収と連動していること(すなわち、高い血中植物ステロール値はコレステロールの吸収も高いことを示す)、そしてコレステロール自体の吸収効率の高さが心疾患リスクの上昇に寄与していることから、これらの研究では様々な交絡因子(結果の解釈に影響を与える因子)の影響を分離できていない可能性があります。
一方で、植物ステロール摂取には血中コレステロール値を低下させる効用があり、動物実験では動脈硬化の進行を既存の治療薬と比べ遜色ないほど抑制することが示されています。
このため、植物ステロールの摂取がコレステロール値の抑制をもたらしつつも、動脈硬化のリスクを高めるのではないかという矛盾(植物ステロール・パラドックス)が長年議論されてきました。
■研究内容■
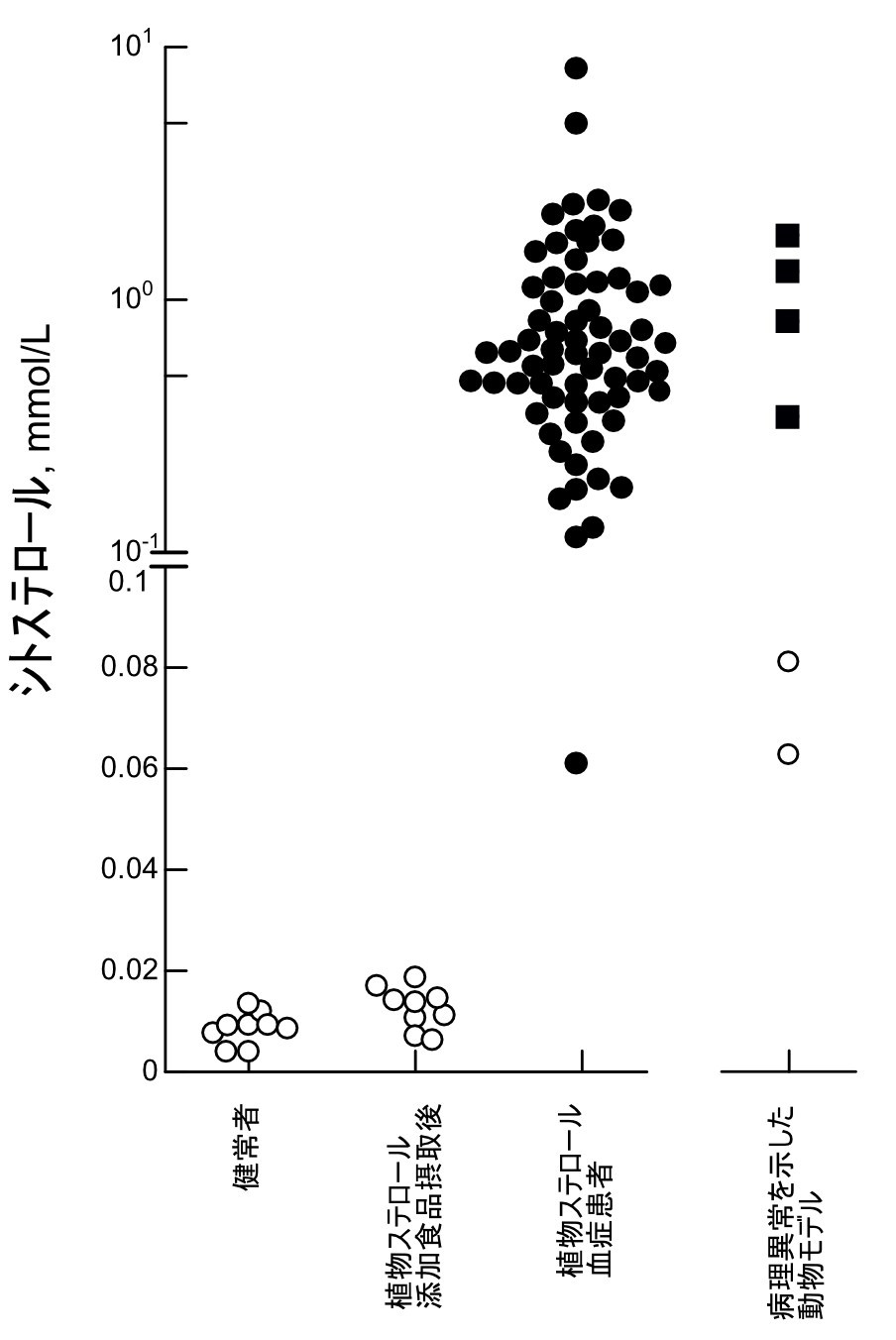
本研究ではまず、健常者、植物ステロール血症患者、および実験動物モデルにおいてこれまでに報告されてきた血中の植物ステロール値をまとめて再検討しました(図1)。
その結果、植物ステロール血症患者では血中植物ステロール値が著しく高値である一方、健常者では植物ステロール強化食品を摂取しても値はわずかにしか上昇しないことが分かりました。また、これまで植物ステロールの病原性を示す根拠として引用されてきた研究では、植物ステロール血症の動物モデルが使われているため血中植物ステロール値が高く、これらの研究結果を健常者に単純に当てはめるべきではないことが分かりました。
図1ヒトおよび実験動物における血中シトステロール値の比較
健常者および植物ステロール摂取群の各プロットは、各コホート研究の平均値を表す。植物ステロール血症患者群は治療を受ける前に測定した血中濃度値である。動物モデル群は、■)植物ステロール血症のマウス/ラットモデル、◯)コレステロール代謝異常疾患のマウスモデルにおける値を示す。(Nakano et al., Curr Atheroscler Rep, 2025より改変転載)
本研究ではまず、健常者、植物ステロール血症患者、および実験動物モデルにおいてこれまでに報告されてきた血中の植物ステロール値をまとめて再検討しました(図1)。
その結果、植物ステロール血症患者では血中植物ステロール値が著しく高値である一方、健常者では植物ステロール強化食品を摂取しても値はわずかにしか上昇しないことが分かりました。また、これまで植物ステロールの病原性を示す根拠として引用されてきた研究では、植物ステロール血症の動物モデルが使われているため血中植物ステロール値が高く、これらの研究結果を健常者に単純に当てはめるべきではないことが分かりました。
図1ヒトおよび実験動物における血中シトステロール値の比較
健常者および植物ステロール摂取群の各プロットは、各コホート研究の平均値を表す。植物ステロール血症患者群は治療を受ける前に測定した血中濃度値である。動物モデル群は、■)植物ステロール血症のマウス/ラットモデル、◯)コレステロール代謝異常疾患のマウスモデルにおける値を示す。(Nakano et al., Curr Atheroscler Rep, 2025より改変転載)
その結果、植物ステロール血症患者は小児期に重度の高コレステロール血症を呈し、その後、成人期にかけて血中コレステロール値が低下する傾向が示されました。
これらの結果は、植物ステロール血症患者における早発性動脈硬化の背景には、植物ステロール自体よりもむしろ小児期からの重度な高コレステロール血症が大きく関与している可能性を示唆しています。
図2 植物ステロール血症患者における年齢依存的な重度高コレステロール血症
治療を受ける前の植物ステロール血症患者における血中コレステロール値。小児期に著しい高コレステロール血症を呈するが、成人期にかけて低下する傾向が見られる。本邦における総コレステロール値の上限値はおよそ6 mmol/L。(Nakano et al., Curr Atheroscler Rep, 2025より改変転載)
さらに、これまで血中植物ステロール値と心血管疾患リスクの関連を示唆してきた疫学研究についてもメタ解析による再評価を行いました。
その結果、血中の植物ステロール値は、食事からの摂取量だけでなく、個人のコレステロール吸収効率や体内での合成バランスに強く影響を受けることが明確になりました。特に、コレステロールを効率よく吸収する体質(高吸収体質)の人は、同時に植物ステロールの吸収も高くなる傾向があります(図3)。重要な点は、コレステロール吸収効率が高いこと自体が心血管疾患の独立したリスク因子であることです。
したがって、血中植物ステロール値が高いことによるリスク上昇は、植物ステロールそのものの害というよりも、背景にある「コレステロール高吸収体質」というリスクを反映している可能性が高く、既存の疫学研究ではこれらの影響を十分に排除できていないことが指摘されました。
図3 コレステロール吸収効率と血中植物ステロール値の相関
様々な代謝性疾患(糖尿病、高コレステロール血症など)に関する臨床研究から、症例群と対照群におけるコレスタノール値(コレステロール吸収の指標)の差と、植物ステロールの一種であるシトステロールの差とに強い正の相関が見出された。各プロットは個々の研究を表し、円の大きさは各研究の被験者数を反映している。つまり、コレステロール吸収効率が高い人ほど、血中植物ステロール値も高くなる傾向があることが示唆される。(T1DM:1型糖尿病、T2DM:2型糖尿病、FCH:家族性複合型高脂血症、FH:家族性高コレステロール血症、non-FH:非家族性高コレステロール血症、MetS:メタボリックシンドローム、CVD:心血管疾患)(Nakano et al., Curr Atheroscler Rep, 2025より改変転載)
■今後の展望■
高齢化社会の進展に伴い、血管の健康維持はますます重要な課題となっています。動脈硬化は長い年月をかけて進行するため、若年期からの対策が不可欠ですが、病気ではない段階での医療介入には限界があります。そこで重要となるのが、日々の食生活を通じた予防です。
本研究により、植物ステロールの安全性に関する懸念が払拭され、その有用性が改めて確認されました。植物ステロールは、世界的にそのコレステロール低下作用が認められている食品成分であり、本研究で示したようにリスクも極めて低いものです。今回の再評価を機に、植物ステロールを積極的に活用することで、若年層からの動脈硬化予防、ひいては国民の健康増進に大きく寄与できると期待されます。
■研究資金■
本研究は、日本学術振興会(JSPS)科学研究費助成事業(科研費)(課題番号:20K05931、23K05076)および公益財団法人 飯島藤十郎記念食品科学振興財団(2022年度)の支援を受けて行われました。
■論文の情報■
論文名:Factors affecting circulating phytosterol levels: Toward an integrated understanding of atherogenicity and atheroprotection by dietary and circulating phytosterols
雑誌名:Current Atherosclerosis Reports
著 者:Takanari Nakano, Erina Takashima, Liqing Yu
U R L : https://doi.org/10.1007/s11883-025-01334-7
■用語の説明■
*1 植物ステロール: 植物に含まれるステロールの総称。シトステロール、キャンペステロール、スタノールなどがあり、コレステロールと構造が類似している。食事から摂取されると、腸管でのコレステロール吸収を競合的に阻害し、血中コレステロール値を低下させる効果がある。
*2 植物ステロール血症: 腸管および肝臓のステロール輸送体の遺伝子変異により、血中および組織中に植物ステロールが異常に蓄積し、早発性動脈硬化を引き起こす希少疾患。
*3 コレステロール: 動物細胞の細胞膜の主要な構成成分であり、ホルモンや胆汁酸の前駆体として重要な役割を果たす脂質分子。過剰なコレステロールは動脈硬化の原因となる。
*4 メタ解析: 独立して実施された複数の研究結果を統計的に取りまとめ、全体としての結論を導く解析手法。(例)図2は、植物ステロール血症患者に関する59の臨床研究(139症例)を解析した結果である。
*5 動脈硬化: 動脈の内壁に脂質やカルシウムが沈着し、血管が狭く硬くなる病態。心筋梗塞や脳卒中の主な原因となる。
※取材の際には、事前に下記までご一報くださいますようお願い申し上げます。
⊳ 研究についてのお問い合わせ
中野貴成(なかの たかなり)
埼玉医科大学 医学部 生化学 准教授
TEL: 042-276-1155
Email: tnakano@saitama-med.ac.jp
⊳ 取材、報道についてのお問い合わせ
学校法人 埼玉医科大学
広報室(担当:蒔田)
TEL: 049-276-2125, FAX: 049-276-2086
Email: koho@saitama-med.ac.jp
【プレスリリース】植物ステロールパラドックスの正体に迫る